Interconnessione di modelli lineari
Operazioni aritmetiche per l’interconnessione di modelli
Sui modelli LTI è possibile eseguire operazioni aritmetiche quali addizione, moltiplicazione o concatenazione. L’addizione esegue un’interconnessione parallela. Ad esempio, digitando
tf(1,[1 0]) + tf([1 1],[1 2]) % 1/s + (s+1)/(s+2)
si ottiene questa funzione di trasferimento.
Transfer function: s^2 + 2 s + 2 ------------- s^2 + 2 s
La moltiplicazione esegue un’interconnessione di serie. Ad esempio, digitando
2 * tf(1,[1 0])*tf([1 1],[1 2]) % 2*1/s*(s+1)/(s+2)
si ottiene questa funzione di trasferimento a cascata.
Transfer function: 2 s + 2 --------- s^2 + 2 s
Se gli operandi sono modelli di tipi diversi, il tipo di modello risultante dipenderà dalle regole di precedenza; vedere Rules That Determine Model Type per ulteriori informazioni.
Per ulteriori informazioni sulle funzioni aritmetiche dei modelli, vedere Catalog of Model Interconnections.
Inoltre, è possibile utilizzare le funzioni series e parallel come sostituti, rispettivamente, della moltiplicazione e dell’addizione.
Modi equivalenti per interconnettere sistemi
Operatore | Funzione | Funzione di trasferimento risultante |
|---|---|---|
|
| Sistemi in parallelo |
|
| Sistemi in parallelo |
|
| Sistemi a cascata |
Interconnessioni di feedback
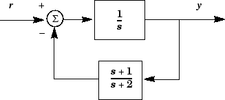
È possibile utilizzare le funzioni feedback e lft per derivare modelli a loop chiuso. Ad esempio,
sys_f = feedback(tf(1,[1 0]), tf([1 1],[1 2])
calcola la funzione di trasferimento a loop chiuso da r a y per il loop di feedback illustrato sotto. Il risultato è
Transfer function:
s + 2
-------------
s^2 + 3 s + 1
Questa figura mostra il sistema interconnesso nel formato del diagramma a blocchi.
Interconnessione di feedback

È possibile utilizzare la funzione lft per creare strutture di feedback più complesse. Questa funzione costruisce la trasformazione frazionale lineare di due sistemi. Per ulteriori informazioni, consultare la pagina dei riferimenti.