Calcolo del Pi greco utilizzando masse in collisione
Questo esempio utilizza un noto problema di fisica per dimostrare le prestazioni del risolutore catturando decine di migliaia di eventi istantanei che si verificano in meno di un secondo. Su un percorso unidimensionale, una massa grande si avvicina a una massa piccola, confinata da un muro sul lato opposto. Nel momento in cui la massa grande colpisce la massa piccola, quest'ultima rimbalza contro il muro e inverte la direzione verso la massa grande. Ciascuna collisione è perfettamente elastica. Man mano che la massa grande si avvicina al muro, le collisioni con la massa piccola avvengono sempre più rapidamente, fino a quando la massa grande inverte la direzione e viaggia infine abbastanza velocemente nella direzione opposta da non poter mai essere raggiunta dalla massa piccola.
Quando la massa grande è 100^n volte più grande della massa piccola, il numero esatto totale di collisioni corrisponde alle prime n+1 cifre di pi greco. Questo risultato è dovuto alla relazione tra la conservazione dell'energia e la conservazione della quantità di moto. Se si tracciano le radici quadrate delle energie cinetiche delle due masse sugli assi ortogonali, il sistema si colloca sempre su un punto lungo una circonferenza il cui raggio dipende dall'energia totale delle due masse. Ciascuna collisione sposta il sistema in un nuovo punto della circonferenza, da un lato all'altro. Le collisioni contro il muro causano lo spostamento verticale del punto. Le collisioni con la massa grande fanno spostare il punto lungo una pendenza pari alla radice quadrata negativa del rapporto di massa.
Il modello utilizza i blocchi Hard Stop con il coefficiente di restituzione impostato in modo da rappresentare le collisioni elastiche. Il risolutore cattura un totale di 31415 collisioni in 0,4 secondi. Il blocco Collision Counter è un blocco personalizzato progettato per catturare gli eventi di collisione.
Modello

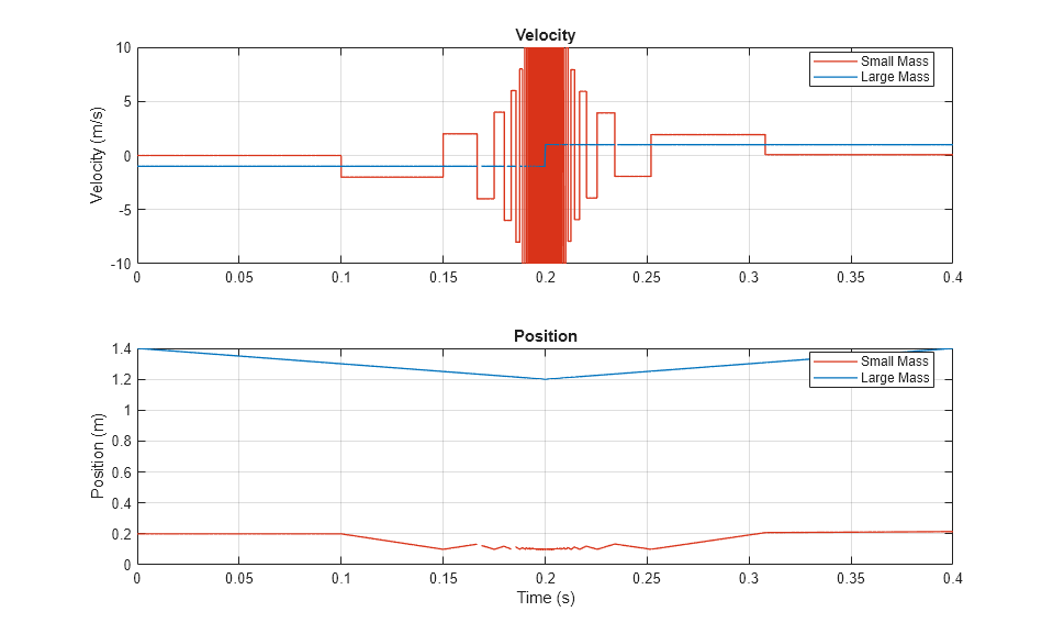
Risultati di simulazione dagli Scope

Risultati di simulazione da Simscape Logging
Questa figura traccia le posizioni e le velocità delle 2 masse. Mostra i cambiamenti istantanei di velocità ogni volta che la massa piccola collide con il muro o con la massa grande e il cambiamento di velocità della massa grande quando la massa piccola ne inverte la direzione.

Animazione dei risultati di Simscape Logging
Questa figura mostra le posizioni delle masse in collisione nel tempo. Il blocco rosso al centro rappresenta la massa piccola, il blocco blu in alto rappresenta la massa grande e il blocco grigio in basso rappresenta il muro.
